Research Background

Cacao Flavanol Studies

Explore the latest scientific research on flavanols and their impact on health. We share key studies from leading institutions highlighting the benefits of flavanol-rich diets on cognitive function, cardiovascular health, and performance.

Below, we benchmark these findings directly against Mindkore’s high-performance concentration, proving how our clinical dosage translates to real-world vitality.
COSMOS Trial
Clinical Evidence

The COSMOS Trial

The COSMOS Trial is the largest clinical study of its kind, involving over 21,000 participants. Led by researchers at Harvard University, it rigorously tested the cardiovascular impact of a daily 500mg cacao flavanol supplement over five years.

The findings were clear: daily high-quality flavanol intake resulted in a 27% reduction in cardiovascular mortality and significantly improved blood vessel function and circulation across the entire body.

While the study utilized 500mg, Mindkore delivers a superior concentration of 630mg of flavanols per 5g serving. This ensures that every dose of Mindkore not only meets but exceeds the clinical benchmark set by Harvard for life-changing performance results.

Scientific References

UK Biobank Flavonoid Intake Study
University Research

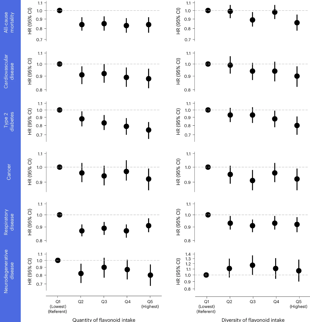
UK Biobank Flavonoid Study

The UK Biobank Study, published in Nature Food, tracked over 500,000 participants to analyze the long-term effects of flavonoid intake. This massive dataset provided a definitive link between high flavonoid consumption and a significant reduction in chronic disease risk.

The research concluded that participants with the highest daily intake (averaging 210mg of flavonoids) showed a markedly lower risk of cardiovascular complications and metabolic issues compared to the low-intake group.

While the general population struggles to hit these benchmarks, Mindkore high-performance cacao changes the scale. With 630mg of flavanols per 5g serving, Mindkore delivers 300% of the flavonoid levels found in the study's top-performing group, ensuring you remain firmly in the peak-benefit category.

Scientific References

Harvard Brain Function Study
Cognitive Research

Harvard Brain Function Study

Research published by Harvard Health highlights that a diet rich in cacao flavanols may significantly increase brain function and cognitive performance. This research focuses on how these specific compounds improve blood flow to key areas of the brain, such as the hippocampus.

Clinical observations indicate that dosages ranging from 500mg to 750mg of flavanols per day are often required to see a meaningful improvement in memory, attention span, and processing speed.

By delivering 630mg of flavanols per 5g serving, Mindkore provides a high-potency dosage that aligns with Harvard’s cognitive research findings. This ensures your brain receives the necessary nutrients to cross the blood-brain barrier and support long-term neuroplasticity.

Scientific References

Cacao Sports Efficiency Study
Sports Performance

Cacao & Athletic Efficiency

Research from Kingston University (Patel et al.) published in the JISSN proved that dark chocolate flavanols reduce the oxygen cost of exercise. By increasing nitric oxide bioavailability, athletes could perform at the same intensity while consuming significantly less oxygen.

The participants achieved these results with a daily intake providing approximately 100-120mg of epicatechin. This dose was sufficient to increase gas exchange thresholds and improve time-trial performance.

Mindkore delivers 630mg of total flavanols per 5g serving, providing a massive concentration that dwarfs the clinical amounts used in the study. This ensures peak metabolic efficiency and sustained power during high-intensity training.

Scientific References

Cacao Skin & UV Study
Dermatological Science

Cacao & Dermal Longevity

Research published in The Journal of Nutrition explored how high-flavanol cacao affects skin health. After 12 weeks of daily consumption, participants showed a 25% increase in resistance to UV-induced erythema (sunburn).

The study observed that flavanols increase microcirculation in the skin, leading to significantly higher skin density, improved hydration, and a visible reduction in skin roughness.

While the clinical dose used in this study was approximately 320mg, Mindkore delivers 630mg of flavanols per serving. This double-potency approach ensures that your dermal layers receive peak protection and circulation support for a visible "vitality glow" from the inside out.

Scientific References

Cocoa Flavanols Neuroprotection Study
Neuroscience

Cacao & Neuroprotection

Comprehensive reviews published in Frontiers in Pharmacology emphasize the neuroprotective potential of cacao flavanols. These compounds act by directly interacting with signaling cascades that promote neuronal survival and long-term potentiation.

Clinical research in this field typically utilizes dosages ranging between 500mg and 900mg of flavanols per day to achieve significant improvements in memory, attention, and cognitive processing speed.

With 630mg of flavanols per 5g serving, Mindkore delivers the full clinical dosage highlighted in these neuroprotective studies. This ensures that every dose provides the threshold required to support brain health and cognitive longevity.

Scientific References

Did the science convince you?

Experience Mindkore Now